The New Zealand Association of Economists asked its members whether they agreed with Wellington’s independent hearings panel’s conclusions. The results were resounding.
The independent hearings panel making recommendations on Wellington’s district plan has copped its fair share of criticism from economists for its conclusions that reducing housing capacity wouldn’t affect supply or affordability.
In The Post, Eric Crampton of the New Zealand Initiative said the panel was “scoffing at evidence”. The Infrastructure Commission’s Geoff Cooper told BusinessDesk it was at odds with “a large amount of research”, Writing in The Spinoff, Motu’s Stuart Donovan described it as “wildly out of step with the economic evidence”.
The panel relied heavily – almost entirely, in fact – on the evidence of Australia-based economist Dr Tim Helm, who was hired to represent two residents’ associations. He argued zoning for additional housing capacity would have no impact on housing supply or affordability. The panel supported his argument and used it as justification to expand character areas and reduce upzoning.
The panel’s chair, Trevor Robinson told Wellington city councillors Helm’s evidence “appeared credible to us” – moreso than the evidence put forward by the Ministry of Housing and Urban Development, Kāinga Ora, or Generation Zero, all of whom provided research showing upzoning directly leads to more housing and lower rents.
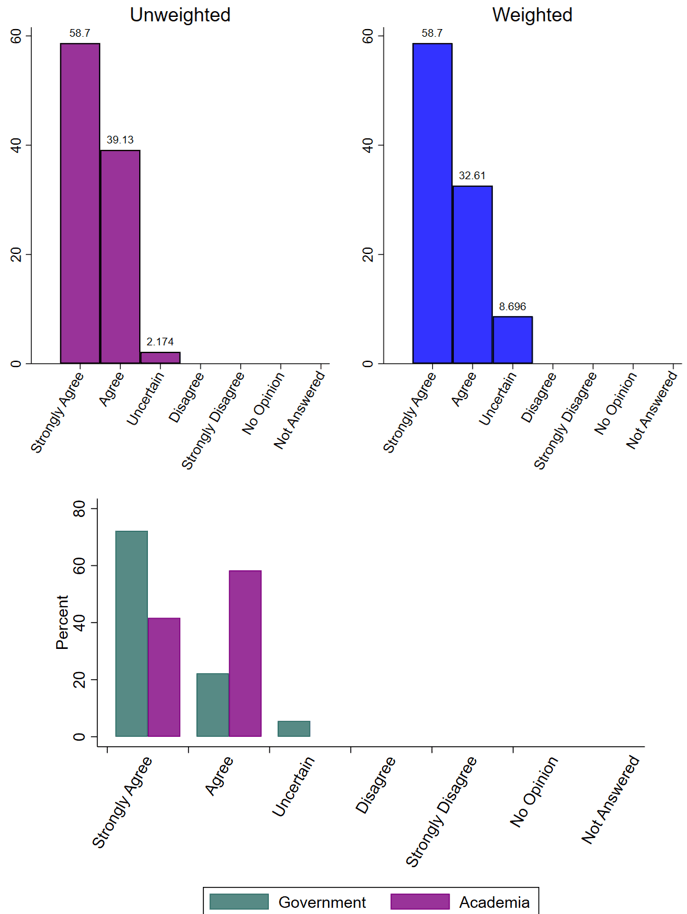
A new survey from the New Zealand Association of Economists shows just how fringe the panel’s conclusions are. The members’ survey was sent to all the Association’s member, and received 46 responses, a roughly even split of economists working in academia, government and the private sector.
The survey asked: “The Independent Hearings Panel on the Wellington District Plan has recently released its recommendations. Please indicate your level of agreement with each of the following assuming the current set of regulations in Wellington:”
1. Land use restrictions in district plans reduce housing supply
Of the economists who responded, 96% agreed or strongly agreed. One person was uncertain, and one disagreed.
2. Land use restrictions in district plans reduce housing affordability
Not a single economist disagreed. 94% of responses agreed or strongly agreed. Three people were uncertain.
3. Easing restrictions in district plans will tend to increase housing supply and affordability
Once again, there was nearly unanimous agreement. 98% of respondents agreed or strongly agreed. One person was uncertain, no one disagreed.
Overall, the survey concluded there was “a strong consensus among economists” that land-use restrictions reduce both housing supply and housing affordability, and easing those would help to improve both.
Economics isn’t a hard-and-fast science, at least not like physics and chemistry. Economic hypotheses are hard to prove. You can’t run a laboratory test on national-level GDP or tax policy. The field is full of debate, and it’s incredibly rare to have any true consensus.
When the NZAE reports the results of its members’ surveys, it usually takes great pains to express the results in carefully couched language, for fear of looking political or not acknowledging the diversity of opinion across the field. Not so this time.
Here’s how the association described the results: “The Independent Hearing Panel on Wellington’s District Plan contains no economists, yet part of its job is to assess economic evidence. They picked a ’side’. The NZ Association of Economists asked members whether the IHP picked correctly – and received a resounding no.”
How to follow along
If you want to stay on top of everything that happens throughout this process, subscribe to The Spinoff’s War for Wellington newsletter. Every week, we’ll send a roundup of the most important stories about the District Plan process and the future of housing in Wellington. It will include highlights from our own coverage, perspectives from experts and activists, and the best reporting from other media around Wellington.


